/odishatv/media/post_attachments/uploadimage/library/16_9/16_9_0/IMAGE_1653996576.jpeg)
UPSC
The Union Public Service Commission (UPSC) has announced the UPSC Mains Result 2022. The result is available on the official site of UPSC, upsc.gov.in and upsconline.nic.in.
On the basis of the results of the Civil Services (Main) Examination, 2022 held by the Union Public Service Commission from September 16 to 25. 2022, the Central agency has asked candidates who have qualified for the Personality Test to appear for interview.
They will be selected to the Indian Administrative Service, Indian Foreign Service, Indian Police Service and other Central Services (Group ‘A’ and Group ‘B’).
Releasing a press note, the UPSC wrote, candidature of these candidates is provisional subject to their being found eligible in all respects. The candidates will be required to produce the original certificates in support of their eligibility/reservation claims viz. age, educational qualifications, community, economically weaker section, Person with Benchmark Disability (PwBD) and other documents such as TA Form etc at the time of their Personality Test (Interview). They are, therefore, advised to keep the said documents ready with them. The candidates seeking reservation/relaxation benefits available for SC/ST/OBC/EWS/PwBD/Ex-servicemen etc, must also produce original certificate(s) issued by the closing date of the application of the Civil Services (Preliminary) Examination, 2022 i.e. 22.02.2022.
Dates of Personality Tests (Interviews) of these candidates will be notified in due course, which will be held in the Office of the Union Public Service Commission at Dholpur House, Shahjahan Road, New Delhi-110069. The Personality Tests (Interviews) Schedule will be made available accordingly. The e-Summon Letters of Personality Tests (Interviews) of the candidates will be made available in due course, which may be downloaded from the Commission’s website https://www.upsc.gov.in & https://www.upsconline.in.
The candidates, who may not be able to download their e-Summon Letters, should immediately contact the office of the Commission through letter or on Phone Nos. 011-23385271, 011-23381125, 011-23098543 or Fax No. 011-23387310, 011-23384472 or by email on ([email protected]). No paper Summon Letters will be issued for the Personality Tests (Interviews) by the Commission.
No request for change in the date and time of the Personality Test (Interview) intimated to the candidates will ordinarily be entertained. All the candidates, who qualified for the Personality Tests (Interviews), are required to fill and submit their Detailed Application Form-II (DAFII) mandatorily.
All the qualified candidates are required to fill up the Attestation Form online and submit the same online which would be made available on the Website of the Department of Personnel & Training from the date of commencement of Personality Tests (Interviews) till the conclusion of Personality Tests (Interviews) on the link https://cseplus.nic.in/Account/Login.
Therefore, the Commission has advised all candidates who have qualified for the Personality Tests (Interviews) to fill it up online within the prescribed time limit. For any query / clarification regarding Attestation Form, the candidates should contact Department of Personnel & Training on E-mail ID: [email protected], [email protected], or telephone nos. 011-23092695/23040335/ 23040332.
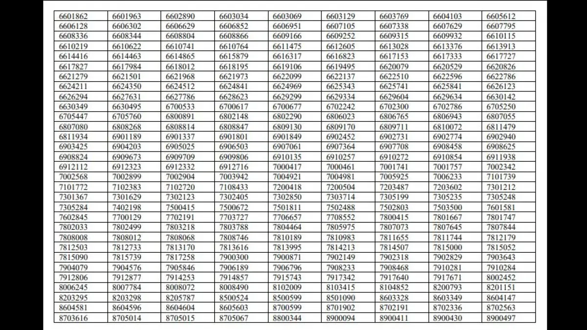
The roll numbers of the qualified examinees are as follows:
/odishatv/media/post_attachments/uploadimage/library/16_9/16_9_5/IMAGE_1670334548.webp)
/odishatv/media/post_attachments/uploadimage/library/16_9/16_9_5/IMAGE_1670334612.webp)
/odishatv/media/post_attachments/uploadimage/library/16_9/16_9_5/IMAGE_1670334657.webp)
/odishatv/media/post_attachments/uploadimage/library/16_9/16_9_5/IMAGE_1670334703.webp)
/odishatv/media/post_attachments/uploadimage/library/16_9/16_9_5/IMAGE_1670334739.webp)
/odishatv/media/post_attachments/uploadimage/library/16_9/16_9_5/IMAGE_1670334787.webp)
The marks sheets of all the candidates will be uploaded on the Commission’s Website within 15 days from the date of publication of the final result [after conducting Personality Tests (Interview)] and will remain available on the Website for a period of 30 days, the Commission stated.